Background:
Acute Lymphoblastic Leukemia (ALL) is a hematologic malignancy of immature lymphocytes of either B cell or T cell origin. One particularly high -risk subset is Ph+ ALL, characterized by a translocation of chromosome 9 and 22, which generates the constitutively active BCR-ABL1 fusion tyrosine kinase capable of driving proliferation and survival of leukemic cells. Currently treatment options include multi-agent chemotherapy along with an ABL-specific tyrosine kinase inhibitor (TKI), though these regimens can lead to significant toxicity, particularly in older adults. Venetoclax is a potent and selective small molecule inhibitor of the B-cell lymphoma 2 (BCL-2) anti-apoptotic protein. Strong mechanistic and preclinical data have demonstrated strong synergistic activity between dasatinib and venetoclax I xenograft models and ex vivo patient samples, and provide an impetus to further explore the combination of BCR-ABL and BCL-2 inhibition in vivo. Based on these data, we designed a clinical trial to investigate the safety and preliminary efficacy of venetoclax in combination with the second generation TKI dasatinib in Ph+ ALL.
Study Design and Methods
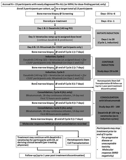
This is an open label, Phase I/II investigator initiated trial evaluating the addition of venetoclax to dasatinib and steroids (with Rituximab in CD20+ patients). Phase I is the safety and dose-finding portion of the trial combining the BCL2 inhibitor venetoclax with dasatinib and steroids during the first 28 days of induction followed by dasatinib and venetoclax for the final 48 days of induction in newly diagnosed and relapsed Ph+ ALL and mixed phenotype acute leukemia (MPAL) patients, including patients with molecular only relapse. Primary inclusion criteria include a histologically confirmed diagnosis of Ph+ ALL or MPAL. Newly diagnosed Ph+ ALL or MPAL patients may not have received leukemia-directed therapy other than for steroids or hydrea, and relapsed patients must have not had prior dasatinib exposure. Key exclusion criteria include subjects with CML in myeloid blast crisis or Ph+ AML, ECOG < 2 and patients with a history of pleural effusions. n order to determine the maximum tolerated dose (MTD) and/or recommended phase 2 dose (RP2D), a Bayesian toxicity probability interval design applied to a pre-specified targeted dose limiting toxicity rate of 30%. Three dose cohorts investigating increasing doses of venetoclax will be enrolled. Once the RP2D dose has been identified, a Phase II expansion will examine preliminary efficacy of the combination. The primary endpoint is the rate of measureable residual disease (MRD) negative remission rate as assessed by both BCR-ABL RT-PCR and next generation sequencing (NGS) after induction. Secondary endpoints include relapse-free survival (RFS) and overall survival (OS). Correlative studies include BH3 profiling (measure of apoptosis) and ex vivo screening to dasatinib and venetoclax alone and in combination. Consolidation phase with blinatumomab plus dasatinib and venetoclax is planned for the cohort expansion group. Enrollment began in September 2022 and is expected to be complete by September 2025. This trial is registered at clinicaltrials.gov (NCT04872790).
Disclosures
Leonard:Takeda: Consultancy; Kite/Gilead: Consultancy; Adaptive Biotechnologies: Consultancy, Membership on an entity's Board of Directors or advisory committees, Other: Travel, accommodations, expenses; Pfizer: Consultancy. Gandhi:orca bio: Research Funding. Swords:Kronos Bio: Research Funding. Traer:Daiichi-Sankyo: Membership on an entity's Board of Directors or advisory committees; Incyte: Research Funding; Prelude Therapeutics: Research Funding; Rigel: Membership on an entity's Board of Directors or advisory committees; Servier: Membership on an entity's Board of Directors or advisory committees; Astellas: Consultancy, Membership on an entity's Board of Directors or advisory committees; Abbvie: Consultancy, Membership on an entity's Board of Directors or advisory committees; Astra-Zeneca: Research Funding; Schrodinger: Research Funding. Saultz:IKENA Oncology: Research Funding; Rigel: Other: Advisory Board. Tognon:Notable Labs: Research Funding. Tyner:Acerta: Research Funding; Genentech: Research Funding; Kronos: Research Funding; Schrodinger: Research Funding; Constellation: Research Funding; AstraZeneca: Research Funding; Aptose: Research Funding; Incyte: Research Funding; Meryx: Research Funding; Petra: Research Funding; Tolero: Research Funding; Recludix Pharma: Membership on an entity's Board of Directors or advisory committees. Lachowiez:Rigel Pharmaceuticals: Membership on an entity's Board of Directors or advisory committees; COTA Healthcare: Consultancy.

This feature is available to Subscribers Only
Sign In or Create an Account Close Modal